Методика определения качества сварочных материалов и оборудования:

Технология ЗDLD позволяет объективно определить качество сварочных материалов и качество сварочных источников по форме поверхности сварного шва.

Качество поверхности сварного шва определяется тремя основными факторами:

1. квалификацией сварщика;

2. качеством сварочных материалов;

3. качеством сварочного оборудования.

Фиксируя попеременно каждые два из вышеприведенных факторов можно по форме поверхности сварного шва определять качество сварочных материалов и сварочного оборудования.

Для уменьшения влияния практических навыков сварщика на качество сварочных материалов и сварочного оборудования первоначально определятся квалификация сварщика.

Для сварки контрольного сварного соединения (КСС), по которому определяется качество сварочных материалов и сварочного оборудования допускаются сварщики Индекс квалификации которых составляет не менее 91 балла (см. Методику определения квалификации сварщиков).

Таким образом, квалификация   должна позволять сварщику сформировать поверхности сварного шва внутри диапазона эталонных форм построенных по максимальным и минимальным значениям высоты и ширины сварного шва определяемым требованиями технической документации к КСС (рис. 1).

Рисунок 1 — Требования к квалификации сварщика

После выполнения этого условия по результатам лазерного сканирования определяются размеры ширины и высоты сварного шва, для которого строится эталонная форма и по отклонениям формы поверхности от эталона сварного шва (рис. 2).

Рисунок 2 — Схема определение Индекса Качества формы поверхности сварного шва

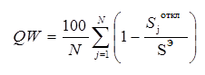
Затем численно определяется средний Индекс Качества (ИК) сварного шва по всем измеренным сечениям по формуле:

где:

QW — Индекс Качества (ИК) поверхности сварного шва;

N— количество измеренных сечений сварного шва;

j – номер измеренного поперечного сечения сварного шва;

SЭ – площадь эталона; ( Залить зеленым цветом)

Sjоткл — абсолютное отклонение площади j — го сечения поверхности сварного шва от площади эталона.