Методика оценки квалификации сварщика

1. Общие положения

1.1 Методика оценки практических навыков сварщиков применяется при оценке квалификации сварщиков при сварке плавлением способами РД, РАД, МП, МАДП,Г (далее Методика), и разработана на основе патентов: Патент РФ №2569276 « Способ оценки квалификации сварщика»; Патент РФ № №2550673 «Устройство для оценки качества сварного шва»; Заявка на изобретение № 2014144363 от 31.10.14.«Способ определения капиллярной постоянной материала по форме поверхности сварного шва».

1.2. Методика разработана с целью подтверждения соответствия требований предъявляемых к квалификации практических навыков сварщиков характеру и виду выполняемых работ прописанных в положениях:

— федеральных норм и правил «Требования к производству сварочных работ на опасных производственных объектах» введенных приказом федерального агентства по экологическому, технологическому и атомному надзору» от 14.марта 2014 года приказ № 102;

— профессиональных стандарта «Сварщик» утвержденный Приказом Министерства труда и социальной защиты РФ от 28 ноября 2013 г. N 701н;

— ЕТКС Выпуск 2 .Часть №1Утвержден Постановлением Минтруда РФ от 15.11.1999 N 45(в редакции Приказа Минздравсоцразвития РФ от 13.11.2008 N 645);

— стандартов организаций;

— договоров.

1.3.Задачи Методики:

— определить квалификацию практических навыков сварщика цифровым индексом в баллах в интервале значений от 0 до 100;

— рассчитать значение индекса квалификации сварщика для лицевой и корневой поверхности сварного шва КСС, без участия человека;

— документально оформить результаты подтверждения соответствия требований п.1.2 сертификатом, свидетельством или протоколом оценки практических навыков сварщика.

1.4. Методика базируется на сравнении виртуальной эталонной формы лицевой и корневой поверхности сварного шва с формой лицевой и корневой цифровой реплик реального сварного шва (Рис.1) с применением технологии 3D лазерной диагностики формы поверхности сварного шва далее (технологии 3DLD) и разработана таким образом, что она:

а) без участия человека с использование современного цифрового оборудования, компьютерного моделирования и специального программного обеспечения позволяет объективно оценивать практические навыки сварщиков при сварке плавлением;

б) предметно ориентирована на производство сварной продукции;

в) определяет критерий оценки практических навыков сварщиков – цифровым Индексом Квалификации Сварщика (ИКС) (рис.1);

г) позволяет подтвердить соответствие практических навыков сварщиков при сварке плавлением требованиям национальных, международных, профессиональных стандартов, положений настоящей Методики и специальных требований Заявителя цифровым значением ИКС.

2016-06-22_1113

Рис.1. Расчетная схема сравнения цифровой реплики формы сварного шва с виртуальным эталоном и формула определения индекса квалификации сварщика (ИКС)

2. Термины и определения

Для целей настоящей методики используются следующие основные понятия:

Заявитель – физическое или юридическое лицо, выполняющее сварочные работы или претендующее на право выполнения сварочных работ;

Оценка квалификации – прямое или косвенное определение соблюдения требований предъявляемых к практическим навыкам сварщика, выполняющим работы или претендующим на право выполнения сварочных работ;

Подтверждение соответствия – документальное удостоверение соответствия квалификации практических навыков сварщиков требованиям положений национальных, международных, профессиональных стандартов, положениями настоящей методики и специальных требований Заявителя;

ИКС – индекс квалификации сварщика, определяющий отклонение формы поверхности сварного шва от формы эталона по 100 бальной шкале;

КСС – квалификационное сварное соединение, выполненное сварщиком по типовой технологической карте, достаточное для определения ИКС;

Квалификация практических навыков сварщика – способность (умение) сварщика формировать бездефектную лицевую и корневую поверхность сварного шва, заданных размеров из заданных материалов в заданном пространственном положении сварного соединения, характеризуемая ИКС;

Технология 3DLD – процедура оценки квалификации практических навыков сварщика цифровым индексом по форме поверхности сварного шва без его разрушения, основанная на сравнении цифровой реплики формы сварного шва, полученной лазерным сканированием с виртуальным эталоном, рассчитанным по физико-математической модели.

 

3.Финансирование работ по оценки квалификации практических навыков сварщиков

3.1. Экономическая деятельность по оценке соответствия квалификации практических навыков сварщиков осуществляется на основе хозяйственных договоров между, ЦОК ООО ДИЦ «МОСТ» и Заявителями.

3.2. Оплата работ по оценке соответствия квалификации практических навыков сварщиков производится «Заявителем» независимо от полученных результатов.

 

4. Порядок оценки квалификации практических навыков сварщиков

4.1. При представлении к оценке квалификации практических навыков сварщика Заявитель направляет в ООО ДИЦ «МОСТ» заявку для каждого способа сварки по форме, приведенной в Приложении 1.

4.2. При заполнение заявки на оценку квалификации практических навыков сварщика необходимо сообщить следующую информацию:

— идентификатор сварщика ( Ф.И.О.;E-mail; телефон)

— квалификационный разряд по ЕТКС;

— виды (способы) сварки;

— марку основного материала;

— вид свариваемых деталей;

— толщину свариваемых деталей, мм

— диаметр свариваемых деталей, мм

— присадочные материалы;

— положение при сварке;

— тип сварного шва;

— номер типовой технологической карты сварки КСС согласно настоящей методике (приложения 2-8)

4.3. В соответствие с заявкой по типовой технологической карте сварщиком выполняется сварка КСС. Типовые технологические карты сварки КСС труб приведены в приложениях 2-8. По договоренности с «Заказчиком» ООО ДИЦ «МОСТ» может разработать специальные карты сварки КСС.

4.4. Сварщик, проходящий испытания по нескольким способам, выполняет КСС по каждому способу сварки.

4.5. При сварке КСС сварщик должен выполнить все требования карты технологического процесса.

4.6. При выполнении КСС сварщиком должны быть выполнены следующие дополнительные условия:

— время выполнения КСС не должно превышать установленного норматива;

— сварщик не имеет право зачищать абразивным инструментом поверхности корневого и облицовочного шва после сварки

4.7. Сотрудник ООО ДИЦ «МОСТ» обязан контролировать процесс сборки и сварки КСС, и имеет право прервать процесс, если сварщик нарушает требования технологической карты.

4.8. Свариваемые и присадочные или наплавочные материалы, применяемые при сварке КСС, должны иметь сертификат завода — изготовителя сварочных материалов.

4.9. Сварочное оборудование, применяемое для сварки КСС, должно быть сертифицировано, иметь контрольно-измерительные приборы и быть в исправном состоянии.

4.10. Лицевая и корневая поверхность сварного шва КСС подлежат сканированию по технологии 3DLD. КСС сканируются с применением оборудования для пластин (рис.2а) и труб ( рис.2б,в).

4.11. Абсолютная погрешность и неопределенность измерения лазерного сканера по высоте сварного шва не хуже  0,05 мм,σ=0,03;по ширине сварного шва 0,4 мм, σ=0,03.

2016-06-22_1114

Рис.2 Оборудование для лазерного сканирования КСС: а) лицевой и корневой поверхности сварного шва пластин; б) лицевой поверхности сварного шва труб; в) корневой поверхности сварного шва труб.

4.12. Сканирование лицевой и корневой поверхности сварного шва КСС осуществляется сотрудником ООО ДИЦ «МОСТ» с применением программы Skan. Результаты сканирования записываются в цифровом формате.

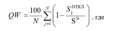
4.13. Определение ИКС выполняется с применением результатов сканирования по отклонению поверхности сварного шва от эталона по формуле:

2016-06-22_1114_001

где

QW — индекс квалификации сварщика (ИКС);

N = Lw/dLw + 1 — количество измеренных сечений сварного шва с шагом измерения dLw большим или равным 0,1 мм;

Lw – длина сварного шва;

j – номер текущего значения, измеренного поперечного сечения сварного шва;

SЭ – площадь эталона

SjОТКЛ — абсолютное отклонение площади j — го сечения поверхности сварного шва от площади эталона, которое определяется по формуле:

2016-06-22_1115

где  — абсолютная величина отклонения формы поверхности сварного шва в j – ом сечении от внешней и внутренней формы эталона, которая определяется по формуле:

2016-06-22_1115_001

B – ширина сканирования. Значения B находятся в интервале от 1,5еmax до 3еmax;

еmax — максимальная ширина сварного шва, устанавливается нормативно-техническими документами или требованиями Заявителя;

ZФj(x) – измеренные значения координат поверхности j – го поперечного сечения сварного шва с шагом dxот 0,1мм до 5 мм;

Z, x – координаты в системе координат Z0X;

ZЭmax(х) — кривая, определяющая внешнюю форму эталона сварного шва;

ZЭmin(х) — кривая, определяющая внутреннюю форму эталона сварного шва.

Внешнюю ZЭmax(х) и внутреннюю ZЭmin(х) формы эталонных кривых сварного шва в любом пространственном положении вычисляют согласно установленным нормативно-техническими документами или требованиям Заявителя по предельным значениям ширины (e) и высоты (g) сечения выпуклости сварного шва с учетом физико- механического свойства расплавленного материала сварного решением интегро-дифференциального уравнения:

2016-06-22_1115_002

где — расстояние от начальной точки эталонной кривой до точки расчета измеренное вдоль кривой, значение lизменяются от 0 до L;

L — длина эталонной кривой сварного шва;

dl – шаг дифференцирования вдоль эталонной кривой;

dl -шаг интегрирования вдоль эталонной кривой;

— угол наклона касательной эталонной кривой к горизонту, в расчетной точке;

к0 — кривизна эталонной кривой сварного шва в начальной точке, определяемая в ходе решения уравнения;

аК — физико-механическое свойство расплавленного материала сварного шва — капиллярная постоянная определяется согласно заявки на изобретение № 2014144363 от 31.10.14.

— угол продольного наклона сварного шва;

— угол поперечного наклона сварного шва;

Z(x) — уравнение, описывающее эталонные кривые сварного шва, записывается в параметрической форме  и имеет вид:

2016-06-22_1115_003

Площадь эталона рассчитывают по формуле:

2016-06-22_1115_004

4.14. Определение ИКС и формирование Протокола оценки квалификации практических навыков сварщика (приложение 9),выполняется программой BEADNEW для корневой и лицевой поверхности сварного шва КСС.

4.15. Протоколы оценки квалификации практических навыков сварщика распечатывают, подписываются сотрудником проводившим сканирование КСС, и заверяется руководителем ООО ДИЦ «МОСТ».

4.16. Протокол оценки квалификации практических навыков сварщика под роспись выдается Заявителю.

4.17. Протокол оценки практических навыков сварщика подтверждает практические навыки сварщика на момент сварки КСС и не имеет распространения на другие способы сварки и КСС.

4.18. Соответствие ИКС разряду сварщика по ЕТКС и профессиональному стандарту «Сварщик» приведено в таблице (приложение 10).

4.19. По результатам сварки типовых КСС ООО ДИЦ «МОСТ» размещает в электронном реестре информацию об ИКС сварщика и выстраивает рейтинг сварщиков.

4.20. Протокол оценки практических навыков сварщика подтверждает квалификацию сварщика на дату проведения испытаний.

2016-06-22_1140

2016-06-22_1141

2016-06-22_1141_001

2016-06-22_1142

2016-06-22_1142_001

2016-06-22_1142_002

2016-06-22_1142_003

2016-06-22_1143

2016-06-22_1143_001

2016-06-22_1143_002

2016-06-22_1143_003

2016-06-22_1143_004

2016-06-22_1144

2016-06-22_1144_001

2016-06-22_1144_002

2016-06-22_1145

2016-06-22_1145_001